
服務熱線
來源: 發表時間:2015-06-05 10:37:28 點擊次數:【】
鐵礦石在冶煉之前,為了滿足高爐冶煉的要求,除了破碎環節之外,篩分環節也是十分必要且至關重要的。
篩分是將顆粒大小不同的混合物料通過單層或多層篩面分成若于個不同粒皮級別的過程。其目的是篩出大塊和粉末,并對合格粒度范圍的礦石進行分級,既可提高破碎機的工作效率,又可改善物料的粒度組成,更好地滿足高爐冶煉的要求。
細料通過篩分得到篩上物和篩下物,分別在篩孔尺寸數字前冠以。十”號和“一”號表不;而從上下層篩網之間排出的物料,則以上下篩孔尺寸的范圍表示。篩孔尺寸大小一船用毫米表示。對于粒度很細的物料,則常用網目表示(簡稱“目”)。網目是指1英寸(25.4mm)長的篩網上所具有的大小相同的方孔數目。根據國際標準篩制,網目和毫米的對應關系有:

篩分作業的生產指標常用篩分生產率和篩分效率表示。前者表示篩子的生產能力,后者表示篩分質量,用以衡量篩分設備工作的好壞。
生產率以每平方米篩面每小時所能處理的原料量表示,單位為t/(m²·h)。
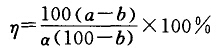
篩分效率是指實際得到的篩下產物質量(Q1)與人篩物料內所含小于篩孔尺寸的粒級質量(Q)之比,一般用百分數表示。

但實際生產中,篩分過程是連續進行的,要稱量全部人篩物料和篩下產物量既很困難,也不經濟。通過推導,篩分效率可根據原礦和篩上產物中小于篩孔尺寸段級的百分含量間接求出。

篩分效率愈高,物料的篩分愈徹底,篩分質量愈好。影響篩分效率的因柬很多,主要與入篩物料的性質(如粒度組成、濕度、臺泥量、油料顆粒形狀等),篩面運動特性及構造參數(篩面上物料運動狀態、篩面大小、篩7L尺寸與形狀等)和操作條件(包括生產率大小和給礦的均勻性等)有關,選銻高效率的篩分設備并改進操作,是提高篩分效率的主要途徑。
在礦石準備處理過程中,常用的篩分設備有以下幾種。
(1)圓筒篩。它是具有圓簡形或圓錐形篩面的回轉篩。篩面用金屬絲編織或用鋼板沖孔制成,圓筒篩篩體的中心軸線與水平面呈5°-7°傾斜安裝,以利于篩分時筒內的礦石向前移動。圓錐形篩安裝時,軸線則保持水平。
圓筒篩多用于中、細碎作業的篩分,尤其含泥沙較重的礦石需水洗時,邊沖洗邊篩分更為方便,我國常用于小鐵廠。這種篩結構簡單,易于制造和管理,工作時無振動,噪聲小。但生產率和篩分效率低,篩分過程中對原料有磨碎作用。
(2)固定篩。一般用于大塊礦石租、中碎前的預先篩分。在我國,目前也有的撓結廠用于機尾燒結礦的篩分,使成品與返礦分開。此種篩具有堅固、簡單、投資少,且不用傳動設備和動力的優點。其缺點是篩纏易堵塞,篩分效率低(最高為50%-60%),傾角大(不小于40°-50°),要占據較大的凈空高度。
(3)振動篩。振動篩是工業上使用員廣泛的一種篩分設備。其振動方向與篩面垂直或近似垂直,因而物料在篩面上的運動方向與篩面垂直。這樣物料層在篩面上能很好分層并發生析離現象,有助于篩分過程的進行。
振動篩的篩分效率高,可達80%-95%,單位面積產量大,篩孔不易堵,調整較方便,適宜于篩分的粒度范圍廣,可用于中、細粒物料的篩分。缺點是需要專門的傳動裝置和消耗動力。
振動篩可分為偏心振動篩、慣性振動篩和自定中心振動篩等種。由于前兩種結構和使用上存在缺點,目前廣泛采用的是自定中心振動篩,自定中心振動篩由框架、篩體相傳動機構組成。框架是鋼結構,篩體由鋼繩和彈簧架設于框架中間。篩體包括篩框和傳動裝置,見圖2-5。電動機通過三角帶帶動振動子,使蹄體產生振動。通過圓筒給料器均勻地把物科給至篩網上,物料沿具有一定角度的篩面運行。
(4)概率篩。概率篩是一種多層新型的篩分機械,它是利用顆粒通過篩孔的概率差異來完成篩分的。其結構原理如圖2-6所示。

概率篩的特點是多層篩面、大篩孔、大傾斜角。其意義在于:多層篩面可減少各層篩面上物料層的厚度;增大篩孔尺寸,可使細粒物料迅速透過篩孔,減少堵塞現象;較大的篩面傾角,使物料的運動大大加快。從而可大幅度提高篩子的生產率和篩分效率。此外,概串篩還有體積小、質量小、消耗功率少、易于防塵、噪聲小、便于維修等優點。目前多用于儲礦槽下用作焦炭、燒結礦等物料的篩分。
上一篇:鐵礦石冶煉前的破碎準備
下一篇:人工砂的選材和應用