
服務熱線
當前位置:首頁>媒體中心>產品百科>礦物的機械強度對磨碎的影響
來源: 發表時間:2015-05-19 16:15:20 點擊次數:【】
研究礦物在磨碎過程中的磨碎行為,首先應該研究礦物破碎過程發生的判據,進而才能說明礦物的破碎及影響礦物磨碎的因素。
對于固體物料的破碎,至今仍無完善的理論解釋。雖然晶體破碎理論能比較深入地說明品體受力后的變形及破壞原因,且能定量地進行計算,但自然界實際礦物晶體由于存在各種宏觀或微觀缺陷,以及成礦地質作用的千差萬別,常導致理論計算與實際所需破碎力之間存在很大的出入。因此,在研究巖礦破碎問題時,雖然可以運用力學來分析受力狀況,但是需要多大的力或多大的力的組合才能導致破碎仍然是個不確定的問題。所以單靠分析力的狀況并不解決問題,還必須借助實際的測量。這就是說固體理論還難以用于具體的工程計算,在工程技術上普遍采用的則是力學強度理論,所采用的辦法是直接測量,以便避開固體破壞,而以某種力的狀況作為破碎的終極原因。實際測量在最簡單情況下常用單位斷裂面上受力的極限一一極限強度來表示斷裂的條件。由于巖礦的極限強度是通過實際測設得到的,所以可以用來檢驗理論是否正確,如果理論正確,就可用來回答各種情況下 巖礦的破碎能否發生。
過去一般是將材料力學中的強度極限作為巖礦的破碎判據,但巖石是由不同堅固程度的礦物組成,并且常常有許多脆弱面, 破碎載荷又常是動態的集中力,并且,在巖石破碎中還要研究破碎程度和范圍,由于巖礦的破碎過程和材料力學中梁、軸、柱的破壞有著本質的區別。因此,只用拉、壓、剪應力極限作判據就顯得很不充分。近年來在巖礦破壞判據研究方面已出現了若干種破壞的強度理論,例如有剪切破壞強度理論,脆斷破壞強度理論及格里菲斯的裂縫擴展理論等等,但仍不成熟不完善,即是說, 巖礦破碎的判據目前尚不完善,更談不上具體數值的大小。為了實際應用,現實可行的解決辦法仍是在規定條件下實際測量巖礦的堅固性指標。
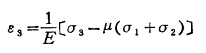
盡管巖礦破壞的判據不甚清楚,但知道礦物的破壞是由礦塊內的某種應力超過極限強度所引起的,所以下面就幾種常見的破壞強度理論進行一些分析討論。剪切破壞理論對粗性材料比較合適,按照剪切破壞理論并可以推論出單向抗拉強度等于單向抗壓強度的結論。但這對巖石的彼壞就相差太遠了,因為巖石的抗拉強度約只有抗壓強度的十分之一。脆斷破壞理論是在三個主應力拉伸的情況下,看最大拉應力是否達到某一臨界值作為判斷物體破壞的儂據,而對其他兩個拉應力則不考慮;在拉應力和壓應力共同作用的佶況下,則以最大拉伸應變達到某個限度作為物體是否發生斷裂的依據,且這個限度可通過試驗確定。最大拉伸應變ε3:

式中 E——彈性模量;
μ——泊桑比;
σ1、σ2、σ3——三個主應力。
對于脆性大的礦物而言,ε3值不大,而對韌性大的礦物ε3值亦較大,即脆性礦物比韌性礦物容易破碎。按最大拉伸理論可以推得脆斷的抗壓強度是抗拉強度的2~5倍,對巖石來說此數值還小于實際數值,這也許是實際礦石中隱藏著裂隙或脆弱面的緣故。
裂紋擴展理論對巖石比較適合,巖石既有缺陷,又屬脆斷,破壞過程有裂紋產生及擴展。格里菲斯提出計算臨界載荷值的公式為
式為

式中Un—表面能;
E——彈性模量;
a——裂隙之半的寬度。
從上述分析可以看出,不論哪種破壞強度理論,巖礦的破壞均與自身的機械強度有關,均要使某種應力達到某一個極限時巖石才會發生破壞,所以,研究巖礦破碎問題時不能離開巖礦的機械強度。
前面對巖礦破碎判據的分析說明,玻碎過程的發生是由于巖礦內某種應力已達到了相應的極限強度,而巖礦自身的應力極限強度又是由自身的力學性質所決定。前已述及,巖礦的硬度、韌性、解理及結構缺陷等共同決定著它的力學性質,通常并以機械強度這一綜合指標表征巖礦的堅固性。機械強度大時因承受壓力的極限強度亦大,破碎時就較困難;反之,機械強度小者,破碎就容易。
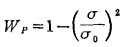
破碎行為的發生不僅與巖礦的機械強度有關,而且與破碎過程的其他條件有關。由子破碎行為的發生帶有隨機的性質,因略宜用統計的辦法研究破碎行為。現用破碎概率Wp來表征破碎行為出現的概率,V.V.卡碼金提出,破碎的概率Wp與巖礦的機械強度σ有如下關系

式中σ0——應力圓半徑。
如果有A、B兩種礦物,它們的機械強度σA及σB不同,設σA比σB大,這兩種礦物遭受相同的破碎作用時則破碎的概率為:

即是說,機械強度大的礦物破碎概率小于機械強度小的礦物。由于機械強度的差異導致了礦物破碎概率的差異,也就導致了礦物磨碎行為的差異。
V.V.卡瑪金還提出了磨礦時礦物的選揮性破碎的判據K為:

由上式可見,如果兩種礦物的機械強度σA及σB相同,它們的破碎概率WAP及WBP也相同,這時KP=0,即A、B兩種礦物混合磨碎時無選擇性可言。當兩種礦物的機械強度σA及σB不等時,WAP和WBP亦不等,這時K有一確定值,表示存在破碎的選擇性。顯然,K值愈大,破碎的選擇性愈大,K值愈小破碎的選擇性也愈小。但是,直接以K值大小來判斷選擇性破碎的程度在實際破碎工程應用上目前還比較困難。由于發生選擇性破碎時 會使兩種礦物粒子存在粒度差,所以直接以粒度差的大小來判斷選擇性破碎程度大小可能更便于實際工程上的應用。如果以δc表示相對粒度差,則由兩種礦物粒子的加權算術平均直徑dA及dB就可算出δc:

從實際資料中可以認為:
δc=5~10%選擇性磨碎現象較為顯著;
δc=10~30%選擇性磨碎現象顯著;
δc>30%選擇性磨碎現象很顯著。
當然,也可以考慮以某一指定粒級(如一200目)含量的差值來判別選擇性磨碎現象是否顯著,若差值顯著地超出粒度測定誤差波動值就應該認為較顯著地存在者選擇性磨碎現象。
上一篇:旋回破碎機的工作原理及其構造
下一篇:彈簧式圓錐破碎機的構造